電壓暫降與短時中斷時電能質量考核中重要的指標之一,主要是由于電網、電力設施的故障或負荷突然出現大的變化引起的。下面本文根據電壓暫降與短時中斷國家標準中的相關描述,對電壓暫降與短時中斷測量的參考指標、測量等內容進行介紹。
根據電能質量——電壓暫降與短時中斷標準中的描述,一般采用SARFI指標來考評電壓暫降與短時中斷事件。SARFI指標用來描述特定周期內某一系統或某一單一測量點電壓暫降(短時中斷)事件發生頻度。
SARFI指標包括兩種形式:一種是針對某一閾值電壓的統計指標SARFIX;另一種是針對某類敏感設備的容限曲線的統計指標SARFI-curve。
電能質量標準中的SARFIX推薦采用兩種方式,分別為利用事件影響用戶數進行統計的SARFIX-C和僅利用事件發生次數進行統計的SARFIX-T,分別如下式1和式2所示:
……1、
式中:
X——電壓方均根閾值,X可能的取值為90、80、70、50或10等,用電壓方均根值占標稱電壓的百分數形式表示,即為X%;
當X<100時,Ni為第i次事件下承受殘余電壓小于X%的電壓暫降(或短時中斷)的用戶數;
NT——所評估測點供電的用戶總數。
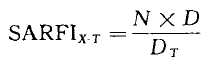
……2
式中:
X——電壓方均根閾值,X可能的取值為90、80、70、50或10等,用電壓方均根值占標稱電壓的百分數形式表示,即為X%;
當X<100時,Ni為第i次事件下承受殘余電壓小于X%的電壓暫降(或短時中斷)的用戶數;
DT——監測時間段內的總天數;
D——指標計算周期天數,可取值30或365,對應指標分別表示每月或每年殘余電壓小于X%的電壓暫降(或短時中斷)的平均發生天數,D≤DT。
SARFI-curve指標是統計電壓暫降(短時中斷)事件超出某一類敏感設備容限曲線所定義的區域的概率,不同的容限曲線對應不同的SARFI-curve指標。例如對于IT類設備,可按SARFI-cbema、SARFI-itic指標統計;對于半導體類設備,可按SARFI-semi指標統計。只有在CNEMA、ITIC曲線包圍區域外部或SEMI曲線下方的電壓暫降(短時中斷)時間才考慮計入SARFI-curve指標。
為了檢測電壓暫降和短時中斷,需要計算各相電壓方均根值。電壓方均根值有兩種計算方法,分別是:半周波刷新電壓方均根值(Urms(1/2))和每周波刷新電壓方均根值(Urms(1))
A. 半周波刷新電壓方均根值(Urms(1/2))
計算Urms(1/2)的公式如下:

式中:
N——每周期的采樣點數;
u(i)——第i此被采樣到的電壓波形的瞬時值;
k——被計算的窗口序號(k=1,2,3,……),即第一個值是在一個周期內(從樣本1到樣本N)獲得的,下一個值則從樣本1/2N+1到樣本1/2N+N,依次計算。
B. 每周波刷新電壓方均根值(Urms(1))
計算Urms(1)的公式如下:
式中:

N——每周期的采樣點數;
u(i)——第i次采樣到的電壓波形的瞬時值;
k——被計算的窗口序號(k=1,2,3,……),即第一個值是在一個周期內(從樣本1到樣本N)獲得的,下一個值則從樣本N+1到樣本2N,依次計算。
A. 電壓暫降的檢測閾值
檢測電壓暫降的閾值一般依據電壓暫降定義設置為0.9pu。
單相系統中當Urms(1/2)或Urms(1)低于暫降閾值時,電壓暫降開始;當Urms(1/2)或Urms(1)等于或者高于暫降閾值與遲滯電壓之和時,電壓暫降結束。
多相系統中,當一相或多相的Urms(1/2)或Urms(1)低于暫降閾值時,電壓暫降開始;當所有相的Urms(1/2)或Urms(1)等于或者高于暫降閾值與遲滯電壓之和時,電壓暫降結束。
B. 短時中斷的檢測閾值
檢測短時中斷的閾值一般依據短時中斷的定義設置為0.1pu。
單相系統中,當Urms(1/2)或Urms(1)低于短時中斷閾值時,短時中斷開始;當Urms(1/2)或Urms(1)等于或者高于短時中斷閾值與遲滯電壓之和時,短時中斷結束。
多相系統中,當一組或多組的Urms(1/2)或Urms(1)低于短時中斷閾值時,短時中斷開始;當所有相的Urms(1/2)或Urms(1)等于或者高于短時中斷閾值與遲滯電壓之和時,短時中斷結束。
下一篇:盤點六大電能質量國家標準