電能質量術語和計算公式
- 瀏覽次數:15584次
- 發布時間:2014/9/27 22:34:52
- 作者:hb_yinhe
根據《DL T 1194-2012 電能質量術語》對電能質量的定義,電能質量是指關系到供用電設備正常工作(或運行)的電壓、電流的各種指標偏離規定范圍的程度。
WP4000變頻功率分析儀電源質量功能提供三相對稱分析和諧波運算相關參數。以下是相關參量的定義和計算公式:
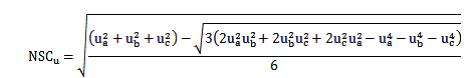
1、不平衡度
WP4000變頻功率分析儀定義三相不平衡度為在一個周期內最大值與最小值之差與三相平均值的比值。

2、正序分量
將不平衡的三相系統的電量按對稱分量法分解后其正序對稱系統中的分量。(GB/T15543-2008定義)


3、負序分量
將不平衡的三相系統的電量按對稱分量法分解后其負序對稱系統中的分量。(GB/T15543-2008定義)


4、諧波失真(THD)
諧波失真是指諧波含量的方均根值對交流量的基波分量或基準基波分量的方均根值之比。

5、波形畸變率(K)

6、諧波含量HC(harmonic content)
DIN標準定義:

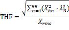
7、電話諧波因數(THF)
根據全國科學技術名詞審定委員會規定,
電話諧波因數(THF)就是指電壓波形中基波及各次諧波有效值加權平方和的平方根值與整個波形有效值的百分比。

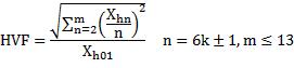
8、諧波電壓因數(HVF)
諧波電壓因數諧波電壓因數是指對電源電壓波形的正弦性的度量,又稱為HVF值。HVF重點考核低次諧波,只考核5、7、11、13四次諧波,且每次諧波均以諧波次數的倒數做加權系數。
