準確度等級及誤差限值是互感器的重要指標參數,特別是在測控系統中,互感器的測量參數直接影響系統能否可靠運行。下面本文主要根據非傳統互感器技術參數介紹非傳統電流互感器、非傳統電壓互感器準確度等級及誤差限值參數。
在規定的二次負荷下,測量用非傳統電流互感器的準確度等級及誤差限值見下表1。保護用和暫態非傳統電流互感器的準確度等級及誤差限值見下表2。

表1:測量用非傳統電流互感器的準確度等級及誤差限值

1. 非傳統電流互感器的電流/電壓變換誤差
非傳統電流互感器的電流/電壓變換誤差(傳遞比誤差)εI、V按下式1規定:
……1
非傳統電流互感器的相位誤差δI、V定義為一次電流向量與二次電壓向量的相位差,單位為“′”。向量方向以理想電流互感器的相位差為零且電流互感器二次負荷電阻的時間常數可忽略來決定,當二次電壓向量超前一次電流向量時,相位差為正,反之為負。
2. 非傳統電流互感器的電流變換誤差
非傳統電流互感器的電流變換誤差(比值差)fI按下式規定:
……2
非傳統電流互感器的相位誤差δI定義為一次電流向量與二次電流向量的相位差,單位為“′”。向量方向以理想電流互感器的相位差為零來決定,當二次電流向量超前一次電流向量時,相位差為正,反之為負。
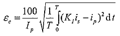
3. 二次輸出為電流量的非傳統電流互感器負荷誤差
二次輸出為電流量的非傳統電流互感器負荷誤差εc定義為:
……3
4. 二次輸出為電壓量的非傳統電流互感器復合誤差
二次輸出為電壓量的非傳統電流互感器復合誤差εc、v定義為:
……4
5. 非傳統暫態電流互感器峰值誤差
非傳統暫態電流互感器峰值誤差ε定義為:
……5
以上1~5中各電氣量的定義為:
● KI——額定一次電流與額定二次電流之比;
● KI、V——額定一次電流與額定二次電壓之比;
● Ip——一次電流方均根值;
● Is——二次電流方均根值;
● Us——二次電壓方均根值;
● ip——一次電流瞬時值;
● is——二次電流瞬時值;
● us——二次電壓瞬時值;
● T——一個周波的時間;
● ie——瞬時誤差電流,二次輸出為電流量時,ie=KIis-ip,二次輸出為電壓時,ie=KI、Vus-ip;
● Ipsc——一次回路短路電流方均根值。
在額定的二次負荷下,測量用非傳統電壓互感器的準確度等級及誤差限值見表3。保護用非傳統電壓互感器的準確度等級及誤差限值見表4。

表3:測量用非傳統電壓互感器的準確度等級及誤差限值

非傳統電壓電壓互感器的變換誤差(比值差)fU按式(6)定義:
……6
式中:
KU——額定一次電壓與額定二次電壓之比;
Up——一次電壓方均根值;
Us——二次電壓方均根值。
非傳統電壓互感器的相位誤差δU定義為一次電壓向量與二次電壓向量的相位差,單位為“′”。向量方向以理想電壓互感器的相位差為零來決定,當二次電壓向量超前一次電壓向量時,相位差為正,反之為負。
下一篇:選用電流互感器的基本要求