根據國家標準對單相交流異步電動機試驗的要求,試驗時對試驗儀器以及試驗方法均有明確的要求,本文根據國標對單相交流異步電動機試驗儀器以及試驗方法做簡單介紹。
單相交流異步電動機試驗時,采用的電氣測量儀表準確度不能低于0.5級,互感器的準確度不能低于0.2級,電量變送器的準確度不能低于0.5%,數字式轉速測量儀及轉差率測量儀的準確度不低于0.1%±1個字,轉矩測量儀及測功機的準確度不能低于1%,測力計的準確度不能低于1.0級,溫度測量儀器的誤差在±1°C以內,電阻測量儀的準確度不低于0.2級。
需要重視的是,所有的測量儀器量程范圍應大于20%~95%,比如采用互感器進行電量測量時,需采用多組不同量程的互感器來保障測量精度。
單相交流異步電動機電壓電流功率測量采用單相功率表直接測量輸入電壓電流功率,測量信號線盡可能接近電動機,以避免線路對試驗數據的影響,也就是我們所說的就近測量原則。
直流電阻測量直接關系到試驗的最終結果,電阻的測量均需修正到環境溫度為25°C時的值。
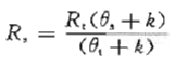
電阻電阻修正到規定溫度是公式為: 式中:
Rs:修正到規定溫度θs時的繞組電阻值,單位為歐姆(?)
Rt:在溫度θt下測得的繞組電阻值,單位為歐姆(?)
Θs:修正到的規定溫度,單位為(°C)
Θt:測得的繞組溫度,單位為(°C)
k:常數,根據繞組材料不同而不同,k=234.5為100%的銅繞組,k=235為100%的鋁繞組。
單相交流異步電動機通過連軸器與負載電機或測功機連接,負載電機或測功機的聯接損耗、風摩耗的和應不大于被試電動機額定輸出的15%,測功機的精度應不低于電動機額定輸出轉矩的0.25%。
單相交流異步電動機可有有以下五種轉速測量方法
1、 數字式轉速測量儀
2、 感應式線圈法
3、 轉速頻率計
4、 數字頻率計
5、 頻閃光儀測試法
單相交流異步電動機可有有以下四種溫度測量方法:
溫度計法
熱電偶法
電阻法
埋置檢溫計法