12脈整流變壓器
- 瀏覽次數:27049次
- 發布時間:2015/4/8 8:17:03
- 作者:銀河電氣
定義
12脈整流變壓器是指整流器的直流母線電流由12個可控硅(晶閘管)整流完成的變流變壓器。
整流變壓器是供整流設備用的電源變壓器,它的任務就是將交流變換成一定大小和相數的電壓,然后再經過整流元件整流,以滿足直流輸出的要求。12脈整流變壓器的整流裝置是12個可控硅(晶閘管)組成的12相全波整流電路。
圖1:12脈整流變壓器原理圖
如上圖1,12脈整流變壓器是由△/△接法和△/Y接法兩個三相橋式整流電路疊加而成的。對負載而言,兩組整流臂相串聯。三角形繞組的線電壓a1b1、b1c1、c1a1分別與星形繞組的相電壓a0、b0、c0同相,星形繞組的線電壓ab、bc、ca分別比三角形繞組的線電壓超前30°。12脈整流變壓器的工作原理與三相橋式整流變壓器基本相同,工作中總有四個整流管串聯導電,其波形如下圖2所示。
圖2:12脈整流變壓器波形圖
圖2中,星形接法線電壓a1b1超前三角形線電壓a2b2相位30°,故兩組整流器合成的直流輸出電壓的紋波頻率相應提高了一倍。
設定:
第一個△/△接法整流橋的網側電流為:iIA;
第二個△/Y接法整流橋的網側電流為:iIIA;
合成網側線電流為:iA。
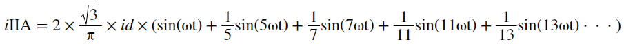
iIA的傅里葉展開級數為:

△/Y網側線電壓比橋△/△超前30°,因網側線電流比橋I超前30°。

故合成的網側線電流

可見,兩個整流橋產生的5、7、17、19、…次諧波相互抵消,注入電網的只有12k±1(k為正整數)次諧波,且其有效值與與諧波次數成反比,而與基波有效值的比值為諧波次數的倒數。
1、將整流設備與電網的電路隔離開來,確保設備和人身安全,限制短路電流,減小整流設備對電網或其他并聯運行整流設備相互間的電磁干擾,抑制可控硅等整流元件的電流上升率;
2、輸出電壓紋波小,可使濾波器簡化;
3、十二相整流電路可同時有三種電壓輸出:全壓Uo,半壓Uo/2和Uo/4;
4、整流元件比三相橋式電路多一倍;
5、整流變壓器結構較為復雜。
為整流裝置供電用的變壓器,稱之為整流變壓器。整流變壓器與電力變壓器雖然工作原理相同(法拉弟電磁感應定律)、結構類似(繞在共同鐵心上的兩個或兩上以上繞組組成)、外觀相近(都是一種靜止的電器設備)。但兩者還是存在很大的區別:
1、電力變壓器一個周期內只有三個正弦脈波。整流變壓器一個周期內的脈波數(即等效相數)可達6或12個。
2、電力變壓器高低壓通常與電網電壓等級相匹配,而整流變壓器只是網側電壓與電網電壓等級相匹配而閥側電壓可根據負載要求、整流方式而定。
3、整流變壓器需進行換向阻抗計算。
4、整流變壓器由于諧波引起的附加損耗不能忽視。因此,同樣功率等級條件下的整流變壓器在制造時,用銅量及硅鋼片用量要高得多。