由于變頻器輸出的SPWM波形的諧波集中在載波頻率整數倍頻率附近,假設載波頻率為fc,基波頻率為fs,那么,諧波可以表示為mfc±nfs。fc/fs稱為載波比,當載波比不是整數時,mfc±nfs不能被fs整除,輸出包含間諧波。要對基波有效值及諧波進行準確的、穩定的測量,前提是變頻器輸出為穩定的周期信號(傅里葉變換針對周期信號)。實際上由于牽引變頻器的開關頻率較低,當開關頻率不是基波頻率整數倍時,其輸出信號不是周期信號。牽引變頻器顯示的基波有效值(接近理論值)與實際測量結果一致的前提是開關頻率(載波頻率)足夠高(至少大于基波頻率的20倍)。牽引變頻器的開關頻率往往低于1KHz,而基波頻率較高,所以并不滿足該條件。
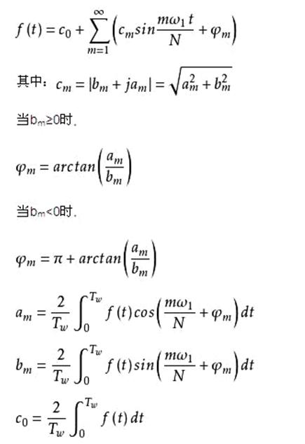
通常的諧波測量儀器使用傅立葉變換的方法進行諧波分析,而傅立葉變換的前提是假定所有的周期波形都是相同的,從這個角度講,傅立葉變換只適用于整數次諧波的分析。對于包含間諧波的信號,每個相鄰周期(基波周期)的信號可能不同,也就是說,信號是變化的,當變化滿足一定的規律時,比如說,每N個基波周期變化重復一次。我們可以將N個基波周期視為一個周期,這樣,信號就是周期信號了。對該周期信號取N個基波周期進行傅里葉變換,可以得到下述表達式:

ω1為基波角頻率,ω1=2πf1,f1為基波頻率,T1=1/f1為基波周期。Tw為傅里葉時間窗的寬度(持續時間),Tw=NT1。c0為直流分量。cm為頻率fm=mf1/N的正弦分量的幅值。當m/N為整數時,該正弦分量為稱為諧波,當m/N為非整數時,該正弦分量稱為分數次諧波,也就是間諧波。
國標GB/T24337-2009《電能質量公用電網間諧波》規定了公用電網諧波的限值及測量方法。若測量儀器可以對傅里葉時間窗的基波周期數進行選擇,當對應的N較大時,可以準確測量間諧波。N越大,可分析的間諧波的頻率越低。
中控臺是試驗站的“大腦與中樞神經系統”,承擔著整個試驗站的信息獲取、分析、管理、系統協調控制及系統保護的職能,其性能指標至關重要。
1.中控臺外型美觀,符合優質人機工程學設計,使用舒適;具備充足的設備擺置和安裝空間及維護入口;
2.布線方便,符合安全規范,具備良好的EMC性能。
1.中控臺需集成系統保護與告警(保護策略與告警門檻值可定義)、自動化試驗控制、數據監測、數據采集與分析、數據存儲及檢索等基本功能。
2.中控臺設備與測控系統獨立供電,能夠保證不斷電連續工作且能實現集中控制。
3.中控臺具備良好的通用性及可擴展性(軟件及硬件接口)
4.中控臺可通過測控總線與試驗子系統(輔助參量在線監測系統、試驗過程控制系統、分布式I/O、電能測試系統等)通訊,總線速率需滿足數據采集、傳輸的高速和實時性要求。
5.中控臺需滿足高可靠性、穩定性運行要求
1. 易于操作的、美觀的高仿真主控系統人機界面;
2.可實現試驗系統的開、閉環控制;
3.故障報警保護功能,如過熱報警、過壓過流保護等;
4.可編程的緊急停機功能;
5.各種被測量可以波形顯示、趨勢顯示并記錄歸檔,如電壓、電流、功率的實時波形及趨勢曲線。
6.實時顯示諧波數據表和諧波圖譜,試驗所需要的各次諧波功率計算;
7.系統可根據設定的報警門限值作相應的報警提示和動作響應;
8.在線監測試驗線路中關鍵元器件的工作狀態,能自動判斷其工作狀態是否正常(包括動作與通訊狀態),并及時提示;
9.主控系統實時顯示主回路中關鍵設備的運行工況,試驗過程控制可以手動也可以在試驗臺全自動完成。
10.自動記錄試驗過程數據,并生成試驗報表及相應的曲線圖;
11.全程記錄試驗數據到數據庫。用戶可以設定記錄的起終止時間,系統也可自動啟動對信號的記錄。記錄的數據可以用其他專用軟件進行后期分析;
12.軟件含準確度補償和自校準功能,可自行設置比例系數;
13.具有事件記錄、故障記錄功能;
14.試驗數據設置專用數據庫,數據庫可按用戶要求存儲海量信息。用戶按分級權限管理,數據庫具有便捷的本地查詢功能,查詢方式多樣化(如按時間查詢、按被試品序列號查詢等)數據庫支持向任意個接入終端提供數據,可提供統一的API接口和協議供用戶二次開發使用。
15.數據庫具有友好的、開放的接口,通過權限設置,可支持遠程訪問,實現數據資源共享。

銀河電氣牽引電氣傳動試驗臺
1.測試系統可實現各種被測量(電量、非電量)的測試需求,且能方便實現關聯量的同步測量。
2.測試系統和控制終端設備須在技術原理上能保障系統在復雜電磁環境下依然保持標稱的性能指標;優先采用數字接口、光纖傳輸的測量設備。
3.為方便外圍設備接入,系統設計時應預留一定數量的AI、AO、DI、DO通道。
4.測試系統或測量儀器應方便溯源和周期檢定,組合式的測試系統應提供能證明其整體系統性能指標全范圍(幅值、頻率、相位)滿足試驗要求的證明材料。(法定計量機構出具的校準證書、現階段計量技術條件不能涵蓋的指標可出具經廣泛認可的有權威性的資料作為證明參考材料。)
5.主電量測量設備投入使用前須進行過嚴格的測量通道校準,并提供法定計量機構出具的校準報告、檢定證書或符合上一條規定的證明材料,其它輔助參量測量及I/O產品提供生產企業出具的質檢報告。
6.測試系統應具有合理的帶寬、多種測量模式(必須含有基波有效值測量模式)、高波形因素、不低于100次的諧波分析功能、采樣速率及通訊速率能滿足高速實時動態參數測試需要。
7.鑒于牽引電氣測量呈現的特殊性(輸出信號呈現較強的非周期性,包含間諧波),常規功率分析儀器在測量包含間諧波信號的電量時,同步采樣困難,其測量準確度將嚴重偏離標稱準確度指標,因此在儀器運算能力足夠的前提下,優先采用能夠對傅里葉時間窗的基波周期數進行選擇、具有DFT分析功能的儀器。
1.主電量測量帶寬要求:電壓測量通道50kHz;電流測量通道:10kHz
2.主電量基波頻率測量范圍:DC或0.1---200Hz
3.主電量電壓/電流測量系統(含儀表及傳感器)準確度:幅值、基波頻率、相位變化的全部范圍內,0.2%rd。該準確度指標適用正弦波測量和非正弦波的基波測量。
4.主電量功率測量系統(含儀表及傳感器)準確度:功率因數0.2—1,0.5%rd;功率因數0.05--0.2,1%rd。該準確度指標適用正弦波測量和非正弦波的基波測量。
5.輔助電量電壓/電流測量準確度:0.5%fs
6.輔助電量功率測量準確度:1%fs
7.溫度測量準確度:0.1%rd±0.5℃(-40---400℃)。
8.扭矩測量準確度:不低于0.5%,轉速測量準確度不低于0.1%,要求與電功率同步測量。