由于整流元件的特性,可以在整流電爐的閥側直接控制硅整流元件導通的相位角度,可以平滑的調整整流電壓的平均值,這種調壓方式稱為相控調壓。
相控調壓節電技術采用改善電動機外部運行環境實現動態電量管理,是與變頻器互補的交流電機兩大主流節電技術之一。它利用電機輕載時效率很低這一點,通過降低輸入電機的端電壓來提高電機效率。由于電機輕載時的鐵耗和機械損耗與額定負載時相差很小,故輕載時它們之和在總損耗中占得比重較大,因此效率很低。若輕載時降低輸入電壓,電機的反電勢和主磁通均減小,激磁電流中的磁化電流也隨之減小,并隨鐵芯飽和程度的下降而下降很多;鐵耗基本與U1的平方成正比例,同樣也減少較大;另外負載下降時負載電流也必將減小,隨之也減少了有功損耗??傊?,負載下降時緊跟著調低輸入電壓的確可提高功率因數和效率,減少有功損耗。
相控調壓技術采用閉環反饋系統進行優化控制,通過實時測量電動機的電壓與電流波形,由于電動機為一感性負載,其電流與電壓波形通常存在一相位差,該相位差的大小與其負載的大小有關。相控器將實際相位差與依據電動機特性的理想相位差進行比較,并依此來控制 SCR可控硅整流橋觸發角以給電動機提供優化的電流和電壓,以便及時調整輸入電機的功率,實現“所供即所需”。
相控技術還采用了可控硅半導體與集成芯片檢測與控制觸發系統來實現無觸點開關功能,其檢測和控制集成芯片的高速處理特性和 SCR的快速反應特點,使得相控器裝置能自動處理各種工況下的電動機動態特性,具有軟啟動、節能、優化運行及保護等特性。采用最新的集成電路芯片控制技術,不斷地檢測電機的工作狀態,從而改變輸入的電壓。當檢測到電機在輕載或負載不斷變化時,通過可控硅能在百分之一秒以內調整輸入電機的電壓,使電機的輸出功率與實時負載剛好匹配,從而減低銅損、鐵損,改善電機啟動、停機性能,達到節電效果。
單相相控交流調壓電路如圖1所示。兩個晶閘管反并聯與負載串聯,通過改變控制角來調節晶閘管的導通時間,進而起到調節負載電壓有效值的作用。與晶閘管相控整流電路類似,負載性質會對電路的工作情況有較大的影響,下面分別對純電阻負載和電感性負載進行分析。

圖1.單相相控交流調壓電路
電源正半周VT1承受正向電壓,在ωt=α時觸發VT1導通,負載電壓uo=u,由于是電阻性負載,負載電流io=u/R,到ωt=π時,正半周結束,io=0,VT1關斷。此后uo=0。在電源負半周,VT2承受正向電壓,ωt=π+α時VT2被觸發導通,uo=u,ωt=2π時,VT2關斷。負載電壓的波形如圖2所示:

圖2.純電阻負載波形圖
負載電壓的有效值Uo為
![]()
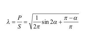
隨著控制角的增大,負載電壓減小,控制角的移相范圍為0<α<π。由于是純電阻負載,負載電流瞬時值io與負載電壓uo呈正比關系,負載電壓有效值與負載電流有效值的關系為U0=I0R。電源側的視在功率S為S=UI0。電源輸出的有功功率P為P=U0I0。功率因數為
![]()
相控作用使電流發生滯后,并且波形也發生畸變,所以即使純電阻負載功率因數也不為1。而且控制角越大,功率因數越低,這是相控電路普遍存在的一個缺點。
帶電感性負載的單相交流調壓電流如圖3所示。ωt=α時VT1導通,負載電壓uo=u,電流開始上升,由于電感的作用,io與uo不呈正比關系,電感的作用還使晶閘管延遲關斷,在電壓正半周結束后的一段時間VT1仍導通,直到負載電流下降到0時VT1關斷。ωt=π+α時觸發VT2,VT2的導通時間也將持續到負半周結束io下降到零的時刻??梢娋чl管的導通角θ>π-α。電感性負載時負載電壓和電流的波形如圖4所示。

圖3.帶電感性負載單相交流調壓電路

圖4.感性負載波形圖