超級電容是一種新型的電動汽車驅動能源存儲設備,其優異的性能指標越來越受到行業的認可。工作電壓、電流、時間常數等都是超級電容的主要參數。
超級電容器能夠連續、長期地保持最大電壓。
對超級電容器進行充電后,為使電容器在某一電壓處于穩定狀態而從外部施加的一個電流。
如果一個超大容量電容器能夠模擬為一個電容和一個電阻的簡單串聯組合,則該電容和電阻的乘積便為時間常數,其單位為s,相當于將電容器恒壓充電至滿充容量的63.2%時所需的時間。
當一個電容器被模擬為包括電感、電容、電阻的等效模擬電路時,其中的電阻部分即為等效串聯電阻。等效串聯電阻可以利用交流阻抗技術或電流階躍技術測試得到。
電容器在放電過程中可以放出的全部容量,具體計算方法是將放電過程中一個瞬間的電壓與電流的乘積對放電時間進行積分。
對于一個簡單的電化學電容器,其理想存儲能量值可以通過E=0.5CU2w來計算,式中,C為電容器的容量;Uw為電容器的工作電壓。
平均放電電流和平均放電電壓的乘積即為平均放電功率。
指當為電容器外接一個合適的負載時,其可以達到的最大輸出功率,計算公式為P=U2/(4R),式中,以為電容器的初始電壓;R為電容器的等效串聯電阻。
在一個特定的充放電循環中,電容器放出的能量占充入的能量的百分比。
超級電容作為一種高功率動力源,可大電流充放電,并且使用壽命比電池大得多,這使得其充放電效率對性能的發揮有著極其重要的影響。超級電容器組的時間常數是決定超級電容器組充放電效率的重要因素。超級電容器組的充放電時間主要取決于超級電容器組的充放電效率。
假設電容組以恒定的電流充放電,經過時間t后,電容器組電量從Q1到Q2,相應的電壓由U1到U2,則電容器組存儲釋放的能量E為:

此時超級電容器組內阻R消耗的能量ER為:

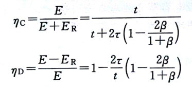
定義時間常數r=RcC,β=U1/U2(充電)或β=U2/U1(放電),得到充電效率ηc和放電效率ηD為:

可知,對于相同的r,超級電容器組效率隨充放電深度增大而減小,隨充放電時間t增大而增大。對于相同的β,ηC永遠大于ηD;同時r越小,相同放電時間效率也越高,并且基本上接近,但隨著r的增大,偏差迅速增大。所以在選用超級電容器時,要綜合考慮充放電深度和時間的匹配關系,根據電容器的成本隨時間常數的增大而增大的原則,在不影響使用的前提下,盡量選用時間常數小的電容器,此時電容器的充放電時間可以設計相等。
上一篇:電動汽車永磁同步電機簡介
下一篇:新能源電動汽車對電池性能的要求