電壓是衡量電能質量的主要指標,電力系統的運行電壓水平與無功功率的平衡密切相關:系統的無功電源比較充足,系統就有較高的運行電壓水平,反之,無功不足運行電壓水平就會偏低。因此,應該力求實現在額定電壓下的系統無功功率的平衡。
系統擁有的無功功率電源必須滿足正常電壓水平下的無功需求,并留有適當的備用容量。當系統出現無功功率過剩時,應適當減少無功電源發出的無功功率;當系統無功功率不足時,應當補充無功功率。這些能夠靈活調節系統無功功率充足性的設備就是無功功率補償設備,電力傳輸系統中常見的無功功率補償設備如下所示。
同步發電機是電力系統中的一個重要組成部分,它既是一個有功電源,同時也是最基本的無功電源。在不影響有功功率平衡的前提下,通過調節發電機勵磁電流的大小來改變發電機的功率因數,進而調節無功功率,從而調整系統的運行電壓,發電機調節無功功率具有較低的運行費用。
同步調相機實質上是只發無功功率的同步發電機,它在過勵磁運行時向系統供給感性無功功率成為無功電源,在欠勵磁運行時從系統吸取感性無功功率成為無功負荷。因此改變同步調相機的勵磁,可以平滑地改變其輸出(或吸收)的無功功率,從而平滑地調節所在地區的電壓。
同步調相機的有功損耗較大,并且小容量的調相機每kVA容量的建設投資費用也較大,故同步調相機宜于大容量集中使用,常安裝在樞紐變電所;同步調相機為旋轉機械,運行維護比較復雜。
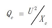
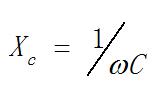
靜電電容器只能向系統供給感性無功功率,而不能吸收無功功率。它所供出的感性無功功率與所在節點的電壓 的平方成正比,即

式中,
為靜電電容器的容抗
靜電電容器作為無功功率補償設備,優點是:
(1)靜電電容器是根據需要由許多電容器連接組成的,故靜電電容器組的容量可大可小,既可集中使用,又可分散使用,使用比較靈活;
(2)靜電電容器在運行時的功率損耗比較小,約為額定容量的0.3%~0.5%;
(3)靜電電容器沒有旋轉部件,維護比較方便。
缺點是:
(1)無功功率調節性能比較差,當系統電壓下降需要無功功率時,它供給系統的感性無功功率按電壓的平方減少,導致系統電壓水平進一步下降;
(2)它是靠電容器投、切進行調節,調節過程是不連續的,不能平滑調壓。
靜止補償器由靜電電容器和電抗器并聯組成。電容器可發出無功功率,電抗器可吸收無功功率,兩者結合起來,再配以調控電抗器的電力電子調節裝置,就成為能夠平滑改變輸出或吸收無功功率的靜止補償器。
與靜電電容器相比,靜止補償器能快速、平滑地調節無功功率,克服了電容器作為無功補償裝置只能作電源不能做負荷,調節不連續的缺點。
與同步調相機比較,靜止補償器的優點是:
(1)運行維護簡單;
(2)功率損耗?。?/p>
(3)能做到分相補償以適應不平衡的負荷變化,對于沖擊性負荷也有較強的適應性。
上一篇:零線、火線、地線簡述
下一篇:斷路器分類及主要參數介紹