量程、線性度、靈敏度、遲滯、重復性、精度、分辨率、零點漂移、帶寬等都是傳感器的基本性能參數指標,在選用傳感器時,這些基本的性能參數指標都是需要參考的,本文根據圖例及計算公式對傳感器的相關技術指標進行介紹。

量程是傳感器的測量范圍,是指測量上下極限之差的值。每個傳感器都有自身的測量范圍,被測量處在這個范圍內時,傳感器的輸出信號才是有一定的準確性的,因此,量程也是用戶選型時,第一關注的技術指標,根據被測量選擇一款合適量程的傳感器是極為重要的。
傳感器的量程XFS、滿量程輸出值YFS、測量上限Xmax、測量下限Xmin的關系如上圖所示。

傳感器的線性度又稱非線性誤差,是指傳感器的輸出與輸入之間的線性程度。理想的傳感器輸入-輸出關系應該是線性的,這樣使用起來才最為方便。但實際中的傳感器都不具備這種特性,只是不同程度的接近這種線性關系。
實際中有些傳感器的輸入-輸出關系非常接近線性,在其量程范圍內可以直接用一條直線來擬合其輸入-輸出關系。有些傳感器則有很大的偏離,但通過進行非線性補償、差動使用等方式,也可以在工作點附近一定的范圍內用直線來擬合其輸入-輸出關系。
選取擬合直線的方法很多,上圖表示的是用最小二乘法求得的擬合直線,這是擬合精度最高的一種方法。實際特性曲線與擬合直線之間的偏差稱之為傳感器的非線性誤差δ,其最大值與滿量程輸出值YFS的比值即為線性度γL。


傳感器的靈敏度是指其輸出變化量ΔY與輸入變化量ΔX的比值,可以用k表示。對于一個線性度非常高的傳感器來說,也可認為等于其滿量程輸出值YFS與量程XFS的比值。靈敏度高通常意味著傳感器的信噪比高,這將會方便信號的傳遞、調理及計算。


當輸入量從小變大或從大變小時,所得到的傳感器輸出曲線通常是不重合的。也就是說,對于同樣大小的輸入信號,當傳感器處于正行程或反行時,其輸出值是不一樣大的,會有一個差值ΔH,這種現象稱為傳感器的遲滯。
產生遲滯現象的主要原因包括傳感器敏感元件的材料特性、機械結構特性等,例如運動部件的摩擦、傳動機構間隙、磁性敏感元件的磁滯等等。遲滯誤差γH的具體數值一般由實驗方法得到,用正反行程最大輸出差值ΔHmax的一半對其滿量程輸出值YFS的比值來表示。


一個傳感器即便是在工作條件不變的情況下,若其輸入量連續多次地按同一方向(從小到大或從大到小)做滿量程變化,所得到的輸出曲線也是會有不同的,可以用重復性誤差γR來表示。
重復性誤差是一種隨機誤差,常用正行程或反行程中的最大偏差ΔYmax的一半對其滿量程輸出值YFS的比值來表示。


在測試測量過程中,測量誤差是不可避免的。誤差主要有系統誤差和隨機誤差這兩種。
引起系統誤差的原因諸如測量原理及算法固有的誤差、儀表標定不準確、環境溫度影響、材料缺陷等,可以用準確度來反映系統誤差的影響程度。
引起隨機誤差的原因有:傳動部件間隙、電子元件老化等,可以用精密度來反映隨機誤差的影響程度。
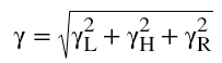
精度則是一種反應系統誤差和隨機誤差的綜合指標,精度高意味著準確度和精密度都高。一種較為常用的評定傳感器精度方法是用線性度、遲滯和重復性這三項誤差值得方和根來表示。

傳感器的分辨率代表它能探測到的輸入量變化的最小值。比如一把直尺,它的最小刻度為1mm,那么它是無法分辨出兩個長度相差小于1mm的物體的區別的。
有些采用離散計數方式工作的傳感器,例如光柵尺、旋轉編碼器等,它們的工作原理就決定了其分辨率的大小。有些采用模擬量變化原理工作的傳感器,例如熱電偶、傾角傳感器等,它們在內部集成了A/D功能,可以直接輸出數字信號,因此其A/D的分辨率也就限制了傳感器的分辨率。
有些采用模擬量變化原理工作的傳感器,例如電流傳感器、電渦流位移傳感器等,其輸出為模擬信號,從理論上來講它們的分辨率為無限小。但實際上,當被測量的變化值小到一定程度時,其輸出量的變化值和噪聲是處于同一水平的,已沒有意義了,這也相當于限制了傳感器的分辨率。

在傳感器的輸入量恒為零的情況下,傳感器的輸出值仍然會有一定程度的小幅變化,這就是零點漂移。引起零點漂移的原因有很多,比如傳感器內敏感元件的特性隨時間而變化、應力釋放、元件老化、電荷泄露、環境溫度變化等。其中,環境溫度變化引起的零點漂移是最為常見的現象。

在實際應用中,大量的被測量是時間變化的動態信號,比如電流值的變化、物體位移的變化、加速度的變化等。這就要求傳感器的輸出量不僅要能夠精確地反映被測量的大小,還要能跟得上被測量變化的快慢,這就是指傳感器的動態特性。
從傳遞函數的角度來看,大多數傳感器都可以簡化為一個一階或二階環節,因此,通常可以用帶寬來大概反映出其動態特性。如上圖所示,在傳感器的帶寬范圍內,其輸出量的幅值在一定范圍內有個小幅變化(最大衰減為0.707)。因此,當輸入值做正弦變化時,通常認為輸出值是可以正確反映輸入值的,但是當輸入值變化的頻率更高時,輸出值將會產生明顯的衰減,導致較大的測量失真。
上一篇:基于虛擬儀器技術的光伏逆變器測試
下一篇:傳感器的線性度參數指標簡介