風機性能是指在一定的進氣條件和轉速時,風機的效率、功率、全壓等參數與流量的關系,下面本文對風機性能試驗相關試驗項目及計算進行介紹。
風機性能試驗一般參照以下標準要求執行,具體情況可根據自身技術要求或現場條件進行調整。
◆ GB/T3235通風機基本型式、尺寸參數及性能曲線
◆ GB/T 10178工業通風機現場性能試驗
◆ GB/T 1236通風機空氣動力性能試驗方法
風機性能試驗是測定風機在工作條件下的流量、壓力、功率和轉速等參數,以確定其性能,并為風機改造和經濟運行提供可靠數據支撐。
風機流量是指單位時間內通過風機進口的氣體體積。一般我們可以通過測量管路中氣體的動風壓來確定風量的大小。
在管路中的適當位置(必須使氣體流動的穩定管段)安裝一個測量動壓頭的裝置——皮托管。假設皮托管測得的動風壓為Pd,測量中,動風壓常用水柱的高度hd表示:


則有:
所以: 若假設測量位置的管徑為D
則有:

另外,測量風量我們還可以用孔板流量計,對于孔板流量計的原理這里略去。下面直接給出計算公式:

或者:

式中:
R:U型壓差計的讀書,m;
ρr:壓差計中指示液的密度,kg/m3;
ρ:被測液體密度,kg/m3;
C0:孔流系數;
S0:孔口面積。
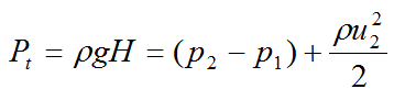
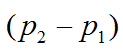
風機的風壓是指單位體積的氣體流過風機時獲得的能量,以Pt表示,單位為J/m3=N/㎡,由于Pt的單位與壓力的單位相同,所以稱為風壓。
用下標1,2分別表示進口與出口的狀態。在風機的吸入口與壓出口之間,列柏努力方程:

對于氣體,式中ρ(氣體密度)值比較小,故
可以忽略;因進口管段很短,
也可以忽略。當空氣直接由大氣進入通風機,則
也可以忽略。因此,上述的柏努力方程可以簡化成:

上式中
稱為靜風壓,可以通過風機出口出的靜壓管測得,以Pst表示。
稱為動風壓,可以通過管路中安裝的皮托管測量得到,用Pd表示。風機出口處氣體流速比較大,因此動風壓不能忽略。風壓為靜風壓和動風壓之和,又稱為全風壓或全壓。風機性能表上所列的風壓指的就是全風壓。
由于風機在運轉過程中存在種種能量損失,使得風機的實際風壓比理論風壓值要低,而輸入風機的功率要比理論值高,所以風機的總效率可以表示為:

其中
為風機的有效功率:

為電機輸入風機的功率:

以上各式中:
Q:風量,[m3/h]
Pt:全風壓,[N/m2]
K:用標準功率機校正功率標的校正系數,這里取1.0
N電:電機的輸入功率,[kw]
η電:電機效率,通常取0.90
η傳:傳動裝置的傳動效率,一般取1.0
流體流經風機時,不可避免的會遇到種種流動阻力,產生能量損失。由于流動的復雜性,這些能量損失無法從理論上作出精確計算,也因此無法從理論上求得實際風壓的數值。因此,一定轉速下的風機的Pt—Q,Pst—Q,N—Q,η—Q,ηst—Q之間的關系,即特性曲線,也是試驗中極為重要的項目內容。試驗中根據要求,采集記錄相關試驗數據,由試驗軟件直接生成特性曲線。
上一篇:風機測試參數及風機測試系統構成
下一篇:三相異步電動機的制動方式簡介