
圖1 分度頭及分度盤

圖2 分度頭結構圖
搖動手柄配合帶動分度盤,完成分度工作。

圖3 分度盤
分度盤一般有兩塊,正反面都有許多孔圈和孔數。每個孔圈上的孔數都不等,同一孔圈上的孔距相等。兩塊分度盤的孔數一般分別為:24,25,28,30,34,37(正面);38,39,41,42,43(反面)。46,47,49,51,53,54(正面);57,58,59,62,66(反面)。

圖4 分度頭主軸
分度頭主軸用來夾住工件。搖動手柄,主軸按照一定的傳動比轉動,傳動比也稱為分度定數,一般有40、90兩種,也就是手柄旋轉一圈,主軸分別轉動9°和4°。
回轉體在分度頭支座的環形導軌內轉動,能使主軸處于水平或垂直位置,以及中間的任意位置。
簡單分度是利用分度盤上不同的孔數和定位銷通過計算來實現工件所需的等分數,是分度頭在機械行業最常用的方法。
若分度頭的分度定數為40,計算方法如下:

N——分度手柄轉數,Z——工件所需等分數。
若計算值含分數,則在分度盤中選擇具有該分母整數倍的孔圈數。
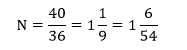
例:用分度頭要將某工件等分為36份,

在分數度盤中找到孔數為9*6=54的孔圈,代入上式:

操作方法:先將分度盤軸套鎖緊螺釘鎖緊,再將定位銷調整到54孔數的孔圈上,調整扇形撥叉含有6個孔距。此時轉動手柄使定位銷旋轉一圈再轉過6個孔距。
角度分度是簡單分度的另外一種形式,根據工件所需分度的角度或者所需旋轉的角度來進行的。若分度頭的分度定數為40,則分度手柄轉40圈,主軸轉360°,手柄轉一圈,主軸只轉過9°。計算方法如下:
![]()
N——分度手柄轉數,
——工件所需角度。
例:主軸需要旋轉5°,

操作方法:按照上面簡單分度的分度方法,分度手柄在54孔盤上,旋轉30個孔距,即可得到所需旋轉的5°。
當分度精度要求較低時,轉動分度手柄,可根據本體上的游標環刻度直接讀數進行分度。