二瓦計法是一種非常常見的測量方法,由于在三相測量中可以節省一組電壓電流測量傳感器,能節約很大一部分成本,所以在很多場合二瓦計法都有應用。
很多功率分析儀都有二瓦計法的功能,方法大同小異,但是WP4000的二瓦計法有別于其他功率分析儀。
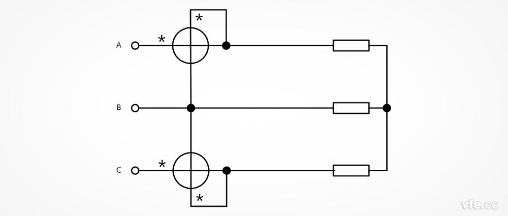
一二瓦計法的測量原理

如圖所示,這是一個典型的二瓦計法測試原理圖,采用兩個功率表分別測量A相和C相的電壓、電流信號,然后根據基爾霍夫定律分別計算出B相的電壓和電流,從而得到三相電壓、電流的幅值、相位參數。
附:
基爾霍夫電流定律:電路中任一個節點上,在任一時刻,流入節點的電流之和等于流出節點的電流之和。
基爾霍夫電壓定律,任何一個閉合回路中,各元件上的電壓降的代數和等于電動勢的代數和,即從一點出發繞回路一周回到該點時,各段電壓的代數和恒等于零,即∑U=0。
二瓦計法的理論依據是基爾霍夫電流定律,即:在集總電路中,任何時刻,對任意結點,所有流入流出結點的支路電流的代數和恒等于零。也就是說,兩根火線的流入電流等于第三根火線的流出電流,或者說,三根火線的電流的矢量和等于零,即:
ia+ib+ic=0 (1)
假設三相負載的中線為N,依據電壓的定義:
uab=uan-ubn,ucb=ucn-ubn (2)
三相瞬時功率:
p=uan*ia+ubn*ib+ucn*ic, (3)
將式(1)和式(2)代入式(3),得:
p=uan*ia+(-ubn*ia+ubn*ia)+ubn*ib+ucn*ic
=uab*ia+ubn(ia+ib)+ucn*ic
=uab*ia+ubn(-ic)+ucn*ic
=uab*ia+ucb*ic。
有功功率等于瞬時功率在一個周期內求積分再求平均,得到:
P=P1+P2
P為三相電路有功功率的總和,P1為uab*ia在一個周期內的積分的平均值,P2為ucb*ic在一個周期內的平均值。在正弦穩態電路中:
P=UAB*IA*cosφAB+UCB*IC*cosφCB
即:
P1=UAB*IA*cosφAB
P2=UCB*IC*cosφCB
式中,UAB、IA、UCB、IC均為正弦電壓電流的有效值,φAB為UAB和IA的相位差,φCB為UCB和IC的相位差。
從變換的公式中可以看出,采用這種方法進行三相總功率測量時,只需要測量兩個電壓和兩個電流,這就是二瓦計法的推導原理及由來。
二瓦計法測量時,三相電路總功率等于兩塊功率表的功率之和,每塊功率表測量的功率本身無物理意義。
二二瓦計法測量的適用范圍
由于二瓦計法的理論依據是基爾霍夫定律,適用于在三相回路中只有三個電流存在的場合,如:
1、三相三線制接法中線不引出(只能采用兩瓦計法);
2、 三相三線制接法中線引出但不與地線或試驗電源相連的場合,與是否三相平衡無關。
在實際應用中,二瓦計法有誤區常常被錯誤認為只適合于三相對稱電路的功率測量。根據基爾霍夫定律,并沒有要求三相對稱,只有ia+ib+ic=0的假設。換句話說,只要滿足基爾霍夫定律,測量的精度完全可以滿足需求,與是否三相平衡無關。
三WP4000變頻功率分析儀二瓦計法優勢
相比于其他功率分析儀需要增加delta選件用于二瓦計法不同,WP4000自帶delta運算功能,通過選擇不同的線路圖就可以實現二瓦計法,使用簡單靈活,無需配置選件而增加額外的成本。
上一篇:采樣頻率與帶寬的“陷阱”
下一篇:三相瞬時功率的意義