算術平均值
- 瀏覽次數:24653次
- 發布時間:2015/2/21 21:04:15
- 作者:銀河電氣
1、對于n個量X1,X2,……,Xn,算術平均值等于各量之和除以n的商:

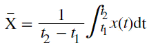
2、對于依賴于一個變量的量,算術平均值等于在該變量的兩個給定值之間的積分除以此值之差的商:

注1:對于周期量,積分間隔包含整數個周期。
注2:量X的平均值可用
,(X)或X表示。
上述計算方法摘錄自:GB/T 2900.1-2008 電工術語 基本術語 3.1.9
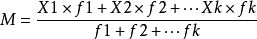
3、加權算數平均值:設原始數據為被分成K組,各組的組中的值為X1,X2,...,Xk,各組的頻數分別為f1,f2,...,fk,加權算術平均數的計算公式為:

主要用于處理經分組整理的數據。 1、算術平均值是一個良好的集中量數,具有反應靈敏、確定嚴密、簡明易解、計算簡單、適合進一步演算和較小受抽樣變化的影響等優點。
2、算術平均值易受極端值的影響。例如有下列資料:5、7、5、4、6、7、8、5、4、7、8、6、20,全部資料的平均值是7.1,實際上大部分數據(有10個)不超過7,如果去掉20,則剩下的12個數的平均數為6。
Tip:由此可見,極端值的出現,會使平均數的真實性受到干擾。
3、加權算術平均值同時受到兩個因素的影響,一個是各組數值的大小,另一個是各組分布頻數的多少。在數值不變的情況下,一組的頻數越多,該組的數值對平均數的作用就大,反之,越小。
Tip:頻數在加權算術平均數中起著權衡輕重的作用,這也是加權算術平均值“加權”的含義。